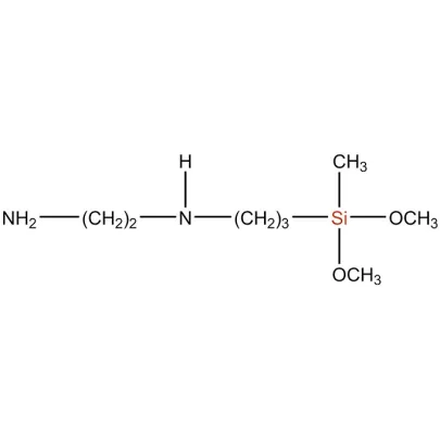
엔-(2-아미노에틸)-3-아미노프로필메틸디메톡시실란

3-(2-아미노에틸아미노)프로필-디메토크시메틸실란 실란 1411;다우코닝 지-6020;아미노에틸아미노프로필메틸디메톡시실란;고질화-103;3-(2-아미노에틸아미노)프로필디메톡시메틸실란
엔-(2-아미노에틸)-3-아미노프로필메틸디메톡시실란

물리적 및 화학적 특성

캐스 아니3069-29-2
아이네크스221-336-6
공식C8H22N2O2
분자량206.4
끓는점265°C[760mmHg]
인화점93°C
점화 온도290°C
색상 및 외관무색 투명한 액체
밀도 25/25°C0.970-0.980
굴절률1.445[25][25][25][25][25]
최소한도 순수성99%


응용 프로그램

1. 이 제품은 무기 기질 물자에 유기 물질의 접합 능력을 증가하는 이중 기능 결합 대리인입니다.

2. 그것은 디아민 유형 아미노 변경된 실리콘 기름 및 다양한 실리콘 최고 연약한 끝마무리 대리인을 위한 원료로 사용됩니다. 결합제의 아미노 작용기가 실리콘 오일 골격에 결합 된 후,섬유에 대한 실리콘(분자)의 방향을 크게 향상시키고 섬유에 대한 친화력을 증가 시키며 다양한 섬유에 슈퍼 부드러움,부드러움,드레이프,정전기 방지,세척 성 및 주름 저항을 제공합니다.

3. 실란 경화 및 폴리 설파이드 실란트(접착제)에 사용됩니다. 단일 및 이중 구성 요소는 실리콘(폴리설파이드)밀폐제를 교차 연결(침투)할 수 있으며,따라서 기판(시멘트,구리,유리 등)에 대한 접착력을 향상시킵니다.),거품 없이 고화되고,시스템 색은 밝습니다.

4. 폴리 설파이드,폴리 염화 비닐 플라 스티 졸,실리콘 2 액형 폴리 우레탄 및 에폭시 접착제 및 실란트의 접착 촉진제로 사용할 수 있습니다.

5. 실란 실록산 화학의 관점에서,그것은 아미노 기능성 실리콘의 합성에 대한 출발 물질로 사용될 수 있습니다.

6. 라텍스 페인트,접착제 및 실란트의 첨가제로 사용할 수 있습니다.

포장 및 보관

200 킬로그램 강철 드럼 또는 950 킬로그램 아이비씨 컨테이너에 포장됩니다.

원래 개봉되지 않은 용기에서는 건조하고 시원한 곳에서 1 년 동안 보관됩니다.

정보 더를 위해 안전 데이터 시트,제품 안전 데이터 시트 및 제품 검사 보고서에 대해서는 다음을 참조하십시오 문의하기.


호콘 인증서

시작할 준비가 되셨나요?

오늘 바로 호콘 오가닉 실리콘 제품 공급업체에 연락하여 아이디어나 디자인을 더 빨리 실현하세요!

문의 양식을 작성해 주시면 24시간 이내에 연락드리겠습니다.

관련 제품

캐스: 1185-55-3

트리메토시(메틸)실란

캐스: 22984-54-9

실온 가황 실리콘 고무 및 실리콘 유리 접착제(중성)의 가교 결합제로 사용됩니다.

캐스: 2224-33-1

비닐 트리클로로실란은 부탄론 옥심과 반응하여 중화,정화 및 최종 제품을 얻습니다.

캐스: 34036-80-1

옥타-(오-시아노에틸)수크로스

우리 마켓

호콘인터내셔널 주식회사는 2015년에 설립된 실리콘 제품을 전문으로 하는 제조업체입니다. 제품 종류는 오르가노실란, 실리콘 수지, 실리콘 오일, 변형 실리콘 오일 및 그 심층 가공 제품이며, 제품의 응용 분야는 일상적으로 이루어집니다...