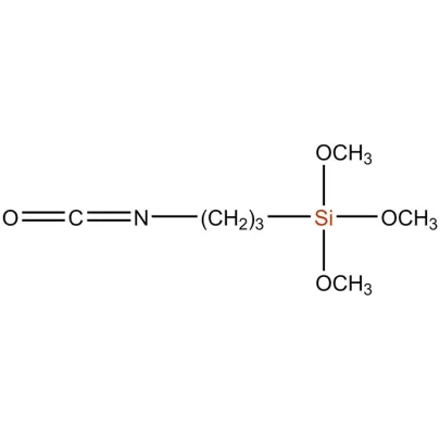
3-lsocyanatepropyltrimethoxysilane

Trimethoxy(3-isocyanotopropyl)silane;3-(트리메토크시실)프로필리소시아네트;
3-lsocyanatepropyltrimethoxysilane

물리적 및 화학적 특성

캐스 아니15396-00-6
아이네크스239-415-9
공식C7H15아니4
분자량205.28
끓는점210°C[760mmHg]
인화점108°C
색상 및 외관무색 투명한 액체
밀도 25/25°C1.08
굴절률1.421[25][25]
미니 순도98.0%


적용

1. 3-이소시아나테프로필트리메톡시실란은 이소시아네트 기능군을 가진 실란이다. 이 제품은 접착제 및 실란트에서 가교 및 접착 촉진제로 사용됩니다. 그것은 각종 기질에 고착할 수 있습니다;그것에는 유리,금속 및 다른 무기 기질에 우수한 젖은 접착 성과가 있습니다;그것은 또한 나일론과 다른 플라스틱 제품과 같은에 고착하기 어려운 기질에 잘 고착할 수 있습니다. 대기 습도의 존재 하에서 신속하게 가수 분해 할 수 있으며 열 안정성,화학적 안정성 및 자외선 안정성이 매우 우수합니다.

2. 기능 그룹 소개: 유기 실리콘 가교제로서,그것은 폴리머 재료,고무 및 페인트의 기능 그룹 도입 반응에서 수정자로 사용될 수 있습니다.

3. 표면 수정자: 그것은 미립자 물자 및 기질의 상호 접합 성과를 강화할 수 있는 좋은 분산을 가진 표면 활성 한정자로 사용될 수 있습니다.

4. 접착 강화제: 접착제,코팅 등에 추가 다른 기질에 그들의 접착을 증가하고 물 저항과 화학 내식성을 개량할 수 있습니다.

5. 코팅 물자: 그것은 우수한 날씨 저항 및 내화학성을 가진 코팅 물자의 분대의 한으로 사용될 수 있습니다.

포장 및 보관

25 키로그램 플라스틱 드럼,200 키로그램 스틸 드럼 또는 1000 키로그램 컨테이너.

개봉되지 않은 컨테이너에서는 유통기한이 1 년입니다.

정보 더를 위해 안전 데이터 시트,제품 안전 데이터 시트 및 제품 검사 보고서에 대해서는 다음을 참조하십시오 문의하기.


호콘 인증서

시작할 준비가 되셨나요?

오늘 바로 호콘 오가닉 실리콘 제품 공급업체에 연락하여 아이디어나 디자인을 더 빨리 실현하세요!

문의 양식을 작성해 주시면 24시간 이내에 연락드리겠습니다.

관련 제품

캐스: 23843-64-3

우레아-프로필 트리메톡시실란은 일종의 화학 물질입니다.

캐스: 4420-74-0

(3-메르캅토프로필)트리메톡시실란(케이-590)은 무기 기판(예:금속,유리 섬유)과 유기 폴리머(예:고무,수지)사이의 견고한 결합을 가능하게 하는 이중 기능 실란 결합제입니다.

캐스: 14814-09-6

3-메르카프토프로필트리에톡시실란은 화학 물질이며 밝은 노란색 액체입니다.

캐스: 78-10-4

유기 합성에서 반응물로 자주 사용됩니다. 에틸 오르토 실리케이트는 에스테리화,에테르화 등과 같은 다양한 유기 반응에 참여하기 위해 촉매 또는 반응 중간체로 사용될 수 있습니다.

우리 마켓

호콘인터내셔널 주식회사는 2015년에 설립된 실리콘 제품을 전문으로 하는 제조업체입니다. 제품 종류는 오르가노실란, 실리콘 수지, 실리콘 오일, 변형 실리콘 오일 및 그 심층 가공 제품이며, 제품의 응용 분야는 일상적으로 이루어집니다...